2019年4月22日,春和景明。在这春意盎然的日子里,章才岔名师工作室成员、市初中数学命题研究班、市初中数学“绿色耕耘”送培活动队来到了洞头区霓屿义校,隆重召开了为期三天的教研活动。一起参与活动的有温州教学研究院章才岔老师领导的名师工作室成员和市命题研修班学员、乐清市教研员吴立建老师领导的温州市骨干研修班的学员、以及洞头区教研员郑海山老师领导的短期培训的学员们及其他各区县部分教师代表,共200余名成员齐聚一堂,共话学、教、研评的一效性。
22日下午安排的主题是“概念课”和“法则课”的课堂观摩与研讨。
首先,年轻、漂亮而又具实力的赵慧芳老师以“概念课”——八下《5.3正方形(1)》拉开了这次活动的序幕,她通过一般三角形的边、角特殊化得到特殊三角形,引导学生类比整理了一般四边形到特殊四边形的研究方法,从而开启了正方形的教学,在这个过程中,赵老师特别关注新旧知识的衔接,也关注课堂生成资源的捕捉、反馈和评价,本节课从正方形概念到判定的得出,赵老师始终从学生练习中间找素材,通过师生互动的形式让学生说,让学生发现矛盾又自己解决矛盾,从而巩固新知,而变式题组的练习则为学生很好的提供了知识运用的平台,注意一题多解、多题一法。一堂课下来,赵老师以清晰的思路、干脆利落的表达马上吸引了我们听众的心。

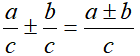
而这一天让我们更加震撼的是我们的工作室导师------市初中数学教研员章才岔老师亲自登台为我们上课的举动,并且他带来的七下《5.4分式的加减(1)》还演绎得这么精彩。这是一堂“法则课”,如何让学生理解理解法则并接受这个法则呢?章老师以和学生聊天的背景下自然的引出“海鲜问题”,从而提出:“为什么
?”从三个方面引导学生对这个结果进行了理解(从实际意义、小学的分数的加减法则的类比、图形解释),让学生真正懂得了这个算理。然后再用这个算理去验证了
,从而得出同分母分式的加减运算法则,完成了从数到式的过渡,体现了从特殊到一般的问题研究方法。从这堂课中,我们发现,当学生真正的理解了法则的意义后,那么不管法则里面的a、b、c变成其他的数或式时,他们对法则也会应用自如,这也便有了课堂中例题与练习等过程中师生共奏和鸣的美景。章老师在这节课中,彰显了研究性的学习过程,揭示了问题的本质,为我们“法则课”的教学提供了一个很好的借鉴。

或许是两节课堂的精彩感染了大家,在下一个分组研讨与上台交流的过程中,会场出现了学员们争先恐后上台抢话筒点评的热闹局面,但诸子百家评出的结论却凸显一个共性:那便是“好”字!

23日上午,我们继续开展研讨,今天的课型是“定理课”与“课题学习”。
来自本校的青年教师李武老师带来了一节概念课——八下《菱形(1)》.给几何概念课的研讨提供了很好的素材。首先,他通过几何画板展示平行四边形的不稳定性,让学生从变化过程中寻找特殊的平行四边形,从而提出菱形这个名称,然后通过类比矩形的学习方法来探索菱形的定义和性质,李老师的引课直观、自主探索的思路明确,板书漂亮,性质运用中,例题采用变式,运用一题多解,对正方形的概念、性质以及判定得以巩固和落实。课后的交流点评环节中,在场老师也是表现出了肯定,而乐清市教研员吴立建老师则在点评中对本节课怎么进行设计进行了非常到位的指导。

第二节课是由本次的特邀嘉宾给我们呈现,来自杭州江干区教育发展研究院的曹建军老师,他带来的是关于“课题学习”为大家展示教学,主题是《问题解决的基本步骤》,曹老师通过“问题一:如何旅游安排?”让学生感受问题解决须调查、沟通、计划、实施、回顾等环节,让学生体会到明确问题解决步骤的意义;通过“问题二:购火车票”,让学生明确问题解决的基本步骤,通过“问题三:话费套餐”,对比和统一问题解决的基本步骤和运用方程解决实际问题的一般步骤。曹老师上课“慢的艺术”一路贯穿,可重点知识贯彻到底,在与学生亲切有趣的交谈中,不忘拾掇学生的零散思维,及时汇集,鼓励学生。正如泰顺教研员蓝晓君老师所点评的那样“曹老师的课重点不在于让学生只明确问题解决的基本步骤,而在于让学生体验有序思考的重要性,所以也由此想到,曹老师不光在教学生要学会解一题会一类,也教导我们老师要通一课会百课。”这种思想让大家有了深刻的触动。

曹老师的课展示了大家风范,他的讲座也格外的引人入胜。23号下午,曹老师以《素养立意的几何教学研究》为主题的讲座,让我们再一次认识到了学科核心素养是育人价值的集中体现,现行的教育已经从教书转变到了育人为主,“为了知识的教育”转化为“通过知识获得教育”。讲座中,曹老师结合一系列的具体实例(如相交线的教学等)阐述了数学教学中要如何落实核心素养,为我们指明了落实核心素养的关键,同时要学会“示以学生思维之道”等观点,曹老师的讲座对我们的实际教学起了很好的引领作用。

24日上午,安排的是命题研讨。负责展示的是市命题研修班的六个小组的组长或成员代表,内容为中考模拟命卷成果,负责点评的是温州市的数学教研员章才岔老师。六个小组分别就自己组的命题的背景和试卷评析、试卷的亮点、命题的遗憾、问题中的文化背景、改编题目的方法与过程等方面对试卷进行了阐述,展示中,我们感受到了这些学员们磨题过程中的辛苦,但也感受到了他们友好合作的良好氛围,同时也见到了很多的亮题或亮题题组,更看到了他们在磨题过程中的成长。


这次的工作室活动内容丰富、主题突出,形式多样,送培人员高端,在一片掌声中徐徐落下帷幕。短短的三天,在导师及名师的引领下,大家收获满满。踏上归程之际,工作室学员们面带微笑与自信,在今后的教学中,只要心中装满着对教学的热爱,卧薪尝胆,我们的数学课堂必将迎来春天般的绚烂多彩。
文/向晓群
2019.4.24
附部分活动照片



